반응형
판별분석은 기존의 자료를 이용하여 관찰개체들을 몇 개의 집단으로 분류하고자 하는 경우에 사용된다.
이 분석은 등간척도나 비율척도로 이루어진 독립변수를 이용하여 여러 개의 집단으로 분류하는 방법이다.
판별분석의 절차
- 변수의 선정
- 표본의 선정
- 판별식의 수 결정
- 상관관계 및 기술통계량의 계산
- 판별함수의 도출
- 판별함수의 타당성 검정
- 검증된 판별함수의 해석
- 판별함수를 이용한 예측
-판별분석 예제-



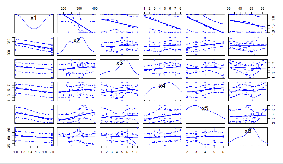
x1변수만을 제외하고 대체로 정규분포를 보이고 있다. 따라서 분석자는 선형판별분석을 실시하면 된다. 선형판별분석은 정준판별분석 또는 판별분석이라고 부른다.
2차 판별함수를 얻기 위해서는 lda()함수대신 qda()함수를 사용해야 한다. 2차 판별 함수는 분산-공분산의 동일성을 가정하지 않는다.
-데이터 판별함수의 적재치 얻기-

위에서 얻은 정보를 근거로 하여 무작위 표본을 추출하여 유보표본 데이터를 입력하여 판별분석을 해보자.


위 명령어는 유보표본 데이터를 불러와서 판별분석을 실시한 Mda.lda에 새로운 데이터를 적용하여 집단을 판별하라는 것이다.
반응형
'R' 카테고리의 다른 글
| R / 로지스틱 회귀분석 (0) | 2020.08.06 |
|---|---|
| R / 회귀분석 (0) | 2020.08.06 |
| R / 상관분석 (0) | 2020.08.06 |
| R / 분산분석(ANOVA) (0) | 2020.08.06 |
| R / 표본검정 및 교차분석 (0) | 2020.08.05 |